近两年,中国分布式光伏发展速度迅猛,装机容量年均增长42%。分布式光伏具备投资规模小、建设速度快、准入门槛低、开发范围广、涉及主体多等特点,在政策支持、技术进步等推动下,未来仍将保持快速增长。高比例分布式光伏接入将会导致配电网产生双向潮流,可能带来电网母线电压越限、变压器和线路反向过载等问题,尤其是分布式光伏规模化开发试点推进下,农村地区出现越来越多的相关情况。以山东为例,低压分布式光伏户均装机约22 kW,农村户均用电负荷约1.09 kW,分布式光伏装机规模远超用电负荷;2022年分布式光伏导致山东7462台配电变压器反向过载、63.4万用户电压越限。
《中国电力》2024年第4期刊发了张宇等人撰写的《计及分布式光伏承载力的配电网侧独立储能充放电策略》一文。文章提出了计及分布式光伏接入配电网承载力的独立储能优化配置及充放电策略,考虑了基于时序潮流和两步式迭代的配电网侧独立储能应用综合成本效益,以系统成本最小为原则,科学合理确定独立储能配置容量和充放电控制策略,最后选取某村低压配电网为案例,仿真验证了所提独立储能充放电控制策略的有效性和正确性。
在“双碳”目标、新型电力系统加快推进下,中国分布式光伏呈现快速发展态势,在高比例分布式光伏接入地区易发生电网电压升高越限和反向潮流设备过载等问题,影响分布式光伏接入配电网承载力。充分考虑配电网侧独立储能调节作用,研究提出了提高分布式光伏接入电网承载力水平的独立储能优化配置及充放电策略。考虑了基于时序潮流和两步式迭代的配电网侧独立储能应用综合成本效益,以系统成本最小为原则,科学合理确定独立储能配置容量和充放电控制策略。选取某村低压配电网为案例,通过配电系统经济分析和优化软件(DEAP),仿真分析了所提独立储能充放电控制策略的有效性。
基于时序潮流和两步式迭代的配电网侧独立储能应用综合成本效益
配电网侧独立储能应用综合成本Call包括储能投资成本Ces、运维成本Com、网络损耗Closs、弃电成本Ccur,即
1)储能投资成本。为便于对比,将储能投资成本进行年化处理,认为全寿命期内每年等额承担建设成本,可采用资本回收系数将建设成本折算到寿命期的每一年,即
式中:Pi为储能i的容量(考虑功率和时长之积);
为储能i的单位装机容量成本(已考虑时长);γ为折现率;TL为设备寿命;n为储能的数量。
2)维护成本。储能系统维护成本通常按照投资成本的一定比例进行估算,即
式中:
为储能i的年度维护成本系数,即年度维护成本与项目投资成本的比例。
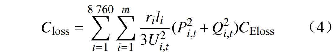
3)网络损耗。网络损耗与网架结构和运行方式、负荷情况及新能源位置、容量和运行方式等密切相关,计算式为
式中:ri为第i条线路的单位长度阻抗;li为第i条线路的长度;Ui,t为第i条线路在t时刻的电压;Pi,t、Qi,t分别为t时刻流过第i条线路的有功和无功;CEloss为单位损耗电量的价值;m为线路数量。
4)弃电成本。分布式光伏弃电有多种处理方式,较为常用的有按照一定比例阶梯式降低出力、采用优化方法进行精准化控制2种。考虑实际情况,以及计算精度和速度,本文选取按照一定比例阶梯式降低分布式光伏出力的方式,弃电成本为
式中:Ei,t为t时刻新能源i的限电量;CEcur为单位限电量的价值;x为新能源电站数量。
根据行业标准《分布式电源接入电网承载力评估导则》有关规定和要求,影响分布式电源承载力的因素主要有反向负载率、电压偏差、短路电流、谐波等,需要对各项技术指标进行综合考虑并校核。结合分布式光伏发电特性、接入带来的主要影响,本文主要考虑节点电压和设备运行2种约束条件。
式中:Vi,max、Vi,min分别为节点i允许的最大、最小电压,根据GB/T 12325—2008《电能质量供电电压允许偏差》要求确定。
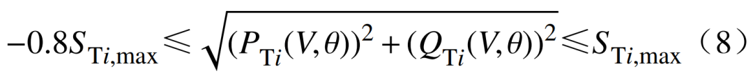
2)设备运行约束。主要包括线路和变压器容量约束,要求电网设备运行电压和电流不能超过运行限制。根据实际情况,通常要求正向负载不能超过额定状况,负向负载率不超过额定状况的80%,即线路i—j功率Pij应满足
式中:Pij,max为线路i—j流过的有功上限值,根据线路实际参数获得。
式中:STi,max为变压器i允许的最大运行功率;PTi、QTi分别为变压器i的有功和无功功率;V为变压器母线电压;θ为变压器运行功角。
本文采用两步式迭代计算方法,从而保证计算精度和计算速度,如图1所示,主要流程为:在全年8760 h每个时刻点上,首先不考虑储能系统接入,计算分析配电系统时序潮流运行情况,根据时序潮流计算结果,得出储能系统控制策略;然后,预先设置储能系统的充放电控制策略、分布式电源出力控制策略、电网改造备选方案范围等,重新计算配电系统时序潮流运行情况,以此验证相关控制策略的准确性。该计算方法下不再需要将每个时刻点储能的出力状态设为自变量,提高了计算精度,也避免储能出力状态比电网状态延迟一个时刻点,确保了计算精度。

Fig.1 Two-step iterative solution process
结合分布式电源接入电网承载力的行业标准要求,储能运行控制策略的主要思路为分别判断全网最高电压和最高设备反向负载率,根据电压和设备反向负载率情况判断充放电策略。基本考虑如下。
1)关于电压的判断。对含分布式光伏的配电网开展时序潮流分析,计算全网各节点电压,当某时刻出现电压越限时,对所有配电网侧独立储能进行充电,确保该时刻下电网所有节点电压满足国标允许偏差,其中储能系统满足其充放电功率要求。当电网最高电压在国标允许偏差范围时,对储能系统放电,以备后续充电。
2)关于设备反向负载率的判断。电网返送潮流不能超过设备负载限额的一定比例,所评估的设备主要包含35~220 kV变压器和10~110 kV线路,若评估区域中含有大量的380/220 V电压等级分布式电源,则也应对10 kV配电变压器进行评估。当某时刻全网最高反向负载率超过最大允许反向负载率(根据行业标准取–0.8),对所有配电网侧独立储能进行充电,确保该时刻下各变压器和线路负载率满足运行要求,其中储能系统满足其充放电功率要求。当全网不存在潮流返送时,独立储能系统进行放电,以备后续充电。图2为储能系统控制策略流程,图2中:Vmax为系统最高电压标幺值;LFmax为最大反向负载率;LFBmax、LFBmin分别为允许最大、最小反向负载率;Umax、Umin分别为系统最高、最低运行电压。

Fig.2 Control strategies for energy storage
案例为包含4台配电变压器的村级低压配电网,选择某台配电变压器为研究对象,容量100 kV·A,如图3所示。共有户表数63户,其中居民60户,三相动力3户。图3中每个光伏组件图标表示安装3 kW光伏发电的屋顶,加粗线路表示主干线,未加粗线路为分支线。该低压配电网负荷特性和分布式光伏出力特性如图4~6所示。

Fig.3 Grid structure in typical case

Fig.4 Typical weekly characteristic curve of residential load (March 1–March 7)

Fig.5 Typical weekly characteristic curve of power load (March 1–March 7)

Fig.6 Distributed PV power output curve (March 1–March 7)
国网能源院自主设计开发了配电系统经济分析和优化软件(DEAP),具有含分布式电源、储能的配电网时序潮流分析,分布式电源、储能与配电网协同规划,含分布式电源、储能等灵活资源的配电网优化运营等功能。软件具有界面友好、使用灵活、功能丰富等特点,已通过国家信息中心的权威测试,可有效支撑政府部门、电网公司、研究机构等开展项目量化投资分析。软件界面如图7所示。

Fig.7 DEAP software interface
针对配电系统案例,在DEAP软件中进行详细的电网、电源和负荷建模,可进行连续8760 h的潮流计算,支持三相、单相潮流、配电网可开放容量等计算,也可基于潮流计算结果,计算配电网网损、改造成本、分布式电源限电损失等成本,计算速度快,结果准确,可以应用于储能支持分布式电源消纳的计算。
考虑储能系统提升分布式光伏承载力的主要作用是防止配电系统出现电压越限、设备负载过载等问题,在储能系统接入位置确定时,可以选择系统内电压稳定薄弱点。根据相关研究成果,本文采用局部L指标法。通过计算,该供电变压器电压薄弱点为节点234,在该节点接入储能。
按照光伏装机容量的5%、10%、15%、20%和30%分别配置不同的储能规模,时长2 h。
为分析计及分布式光伏承载力的储能充放电策略的作用,选择基于光伏出力曲线的固定日充放电时间的策略作为对比策略,简称为固定策略。即根据地区分布式光伏年度8760 h出力曲线,削减到24 h,从而确定合适的储能充放电时间。根据该地区的实际分布式光伏出力和净负荷曲线,确定在中午11:00—13:00充电,同时为了防止储能放电功率过大导致末端电压升高,在此合理控制放电功率及时间,下午净负荷高峰时16:00—21:00放电。削减后的分布式光伏出力和负荷功率曲线如图8所示。

Fig.8 Distributed PV output and load power curves after time reduction
3.3.3 充放电策略下综合成本的比较
结合储能不同配置容量和控制策略,11种典型情景的计算分析结果如表1所示,其中,智能策略为本文所提策略。相关的计算参数选取原则为:限电损失计算时的电价按照分布式光伏建成时的上网电价1元/(kW·h)计算,独立储能投资成本为1 500元/(kW·h),寿命为10年。
Table 1 Calculation results for different energy storage configurations and control strategies

从表1可知:1)配置储能后,系统供电的综合成本(可对应增量度电成本)有增有减。储能按照5%配置时,无论采用固定策略还是智能策略,均能降低系统供电的综合成本;储能按照10%配置时,采用智能策略时,可降低系统供电的综合成本。若储能配置比例过高,且采用固定策略时,系统供电的综合成本大幅增加。2)无论采用固定策略还是智能策略,在同一控制策略下,随着储能配置比例增加,系统供电的综合成本不断增加。3)在同一储能配置比例下,相比于固定策略,采用智能策略可有效降低系统供电的综合成本。
综上,在计及分布式光伏承载力的配电网侧独立储能充放电策略中,应结合对象开展深入的量化分析,合理确定储能配置比例,并优先采用智能策略,以降低系统供电的综合成本。
本文提出了计及分布式光伏承载力的配电网侧独立储能配置容量和充放电策略科学确定方法,通过实际案例计算分析验证可知,应合理确定储能配置容量,并优选智能控制策略,以降低系统供电的综合成本。为适应分布式光伏、新型储能等新兴市场主体快速发展,充分发挥其效率效益,应继续开展相关市场机制、关键技术等研究,如深入研究配电网侧独立储能的成本疏导机制、实现分布式光伏可观可测可控的调度控制和通信技术、新型储能控制和网架自愈控制协同技术等。
【信息来源:中国电力微信公众号】